(What we need, we know not; What we know, we do not need – The First Circle ; Solzhenitsyn)
Phải nói thời kỳ chiến tranh lạnh giữa hai khối Tự do và Cộng sản đã là một thời kỳ phát triển không ngừng của nhiều dụng cụ điện tử dùng trong việc do thám đối phương. Đề cập đến đây chúng ta sẽ có người nhớ lại hàng rào điện tử của Robert McNamara[1], một người đã soạn thảo điều hành cuộc chiến Việt Nam từ lúc khởi nguyên tới lúc khốc liệt từ những năm 1960 đến năm 1968.
Cũng chắc chắn có người trong chúng ta nhớ lại trong xe tank M48 có một bộ phận nhắm bằng tia hồng ngoại để điều chỉnh nòng súng một cách nhanh chóng. Vào những ngày đó, bộ phận này được coi như là bí mật quốc phòng, chỉ được dùng trong quân đội Mỹ mà thôi vì thế sau khi quân đội Mỹ rút quân ra khỏi Việt Nam, bộ phận này đã được tháo gỡ trước khi bàn giao lại quân đội Việt Nam Cộng Hoà, mãi cho đến năm 1992 trở đi thì kỹ thuật này mới được tung ra thị trường thương mãi. Các hãng sản xuất máy chụp hình như hãng Canon, Nikon ngay sau đó đã mau mắn tiên phuông ứng dụng bộ phận này trong ống nhắm tự động điều chỉnh tiêu cự trong máy chụp hình.
Trong khuôn khổ bài này sẽ có 3 câu chuyện kỹ thuật: Tầng Đầu Địa Ngục, tàu Achille Lauro và Trận Chiến 6 Ngày của Khối Ả Rập và Do Thái để dẫn chứng để cho các bạn thấy tầm mức quan trọng của hệ thống viễn thám bằng vô tuyến điện. Những người lãnh đạo cuả Việt Nam tương lai cũng nên biết để phòng ngừa vì thật là nguy hiểm khi họp bàn trong nội các, mà đối phương nghe được từng tính toán của họ. Tỷ như chơi xì phé mà thấy được con bài của kẻ khác, ở tầm vóc của một quốc gia, đó là sự phá sản không thể nào tha thứ được.
Hệ thống viễn thông thám thính bằng vô tuyến điện thực ra đã có từ lâu lắm. Nó là một section nhỏ trong hệ thống chuyển vận tín hiệu. Trước năm 1975, có những dàn viễn thông đặt tại miền Nam Việt Nam. Một dàn nằm trong bộ chỉ huy Quân đoàn 2 tại Pleiku, một dàn tại Đà Nẵng, và một dàn tại Vũng Tàu, nằm trên núi lớn, ngay đằng sau trường Thiếu Sinh Quân. Ngày nay mạch điện này đã được áp dụng trong nhiều lãnh vực của dụng cụ y khoa như Telemetry để theo dõi tâm động ký của bịnh nhân sau khi mổ tim, máy EEG[2] đo những luồng điện phát sinh trong não bộ. Mặc dầu đã quá nhiều phát minh ứng dụng thành sản phẩm, nhưng nguyên thủy những mạch điện này vẫn còn được bảo toàn trong vòng bí mật. Nhân có cơ hội đọc và phân loại để huỷ bỏ những mạch điện và sơ đồ, xin được trình bày cùng quý bạn tầm mức quan trọng của kỹ thuật viễn thám vô tuyến điện.
Tầng Đầu Địa Ngục[3]:
Volodin lẽ ra đã rời nhiệm sở đúng giờ như thói quen hằng ngày, nhưng nguyên một ngày trầm tư đắn đo. Trong khoảng khắc cuối cùng, anh mới quyết định ra khỏi chỗ làm. Như thể thoát thân anh quan sát và đi thật nhanh, vừa khuất một ngã ba, Volodin đã vừa kịp thời nhảy lên một chiếc xe taxi đang định chuyển bánh hướng Kuznetsky Most ra khỏi trung tâm Mạc Tư Khoa. Xe taxi được hướng dẫn quẹo trái ngay sau đó để đổi hướng về phía Petrovka, rồi lại rẽ sang tay phải, bấy giờ đèn đường cũng vừa bật sáng. Lần tay trong túi, nắn nót mãi hai đồng keng 15- kopeck để gọi điện thoại. Dầu nguy hiểm, Volodin không còn có cách chọn lựa nào nữa. Anh phải phone ngay cho người bác sĩ tên là Doctor Dobroumov để báo cho ông ta một chuyện sống còn. Người bác sĩ này xưa kia là bác sĩ đáng kính và tín nhiệm của gia đình Volodin. Volodin đã đắn đo vô cùng trước khi làm một công việc mà chính anh ta đã giằng co trong tâm trí cả một ngày.
Volodin tuy còn trẻ tuổi nhưng hiện đang nắm một chức vụ cao trong đội đặc nhiệm của bộ ngoại giao của Liên Bang Xô Viết, với chức vụ tương đương với Đại tá trong quân đội.
Chiếc taxi đang phóng nhanh trên đường Okhotny Ryad hướng đến trường đại học, lại phải đổi ý quẹo phải thật gấp ở đường Arbat rồi lao đi như lời chỉ dẫn của Volodin. Volodin trả hai tờ tiền giấy cho người tài xế taxi một cách rộng rãi, Volodin đã tin chắc là không có ai theo dõi, mọi chuyện nguy hiểm đã được giảm thiểu tới mức thấp nhất nếu mình nói thật nhanh và cúp máy cho thật lẹ.
Volodin bước vội băng qua quãng trường đi ngang mặt một cô gái bán bông, rồi một người khác nữa. Anh băng qua một quầy kiosk đã đóng cửa, lách mình ngay vào bên trong trạm điện thoại công cộng.
Nơi đó có đến 4 cái điện thoại, tất cả đều đang bận nhưng vừa lúc đó, có một người bước ra, Volodin đi thẳng vào, không chút chần chừ, Volodin bỏ ngay hai đồng cắc vào hộp. Vẫn theo thói cẩn thận của một nhân viên điệp báo sở ngoại giao, anh dùng tay đang đeo găng để cầm ống điện thoại lên, dùng tay kia quay những con số:
- ‘Thưa có phải nhà của Professor Dobroumov không ạ?’ Volodin cố làm cho giọng nói của mình khác đi.
- ‘Đúng rồi.’
- ‘Làm ơn, cho phép tôi nói chuyện với professor.’
- ‘Xin hỏi ai đang gọi?’ Người đàn bà làm như đang ngồi ở cái ghế đẩu đong đưa với giọng lười biếng hỏi lại.
- ‘Bà không biết tôi là ai đâu,....nhưng không cần thiết lắm, tôi cần nói chuyện với professor, cần lắm thưa bà.’ Volodin muốn nghiến răng nguyền rủa.
- ‘Ông cũng phải hiểu đấy, Professor đâu có thể trả lời điện thoại cho từng người muốn nói chuyện với ông được’.
Bên ngoài điện thoại công cộng đã có người đi đến đứng đợi tới phiên được dùng điện thoại công cộng.
- ‘Anh là ai thế? xin cho tôi biết tên ạ!’.
- ‘Tôi là một người mong điều tốt lành đến cho ông ấy, tôi có một tin rất quan trọng cho Professor’.
- ‘Nhưng anh là ai vậy, lỡ chẳng may.. anh là ai vậy? Tại sao lại phải sợ nói ra cái tên của mình?’
Tuy Volodin nghĩ trong đầu là nên ngưng điện thoại phức, rồi lại nghĩ, tại sao một người Bác sĩ giỏi thế mà lại lấy một con đàn bà ngu như thế này làm vợ tuy vậy, Volodin đổi ý, đã hỏi lại một cách vội vã:
- ‘Còn thưa bà, bà là ai, có phải là vợ của Professor không?’
- ‘Tại sao anh lại không nói tên anh trước, nói đi?’
Lần này Volodin muốn bỏ điện thoại xuống và mọi chuyện sẽ êm xuôi, nhưng thế thì uổng mục đích giúp cho ông bác sĩ khả kính Dobroumov. Người bác sĩ mà chính mẹ yêu quý của Volodin cả đời tín cậy. Volodin đành phải nói ra như gieo từng chữ, nhấn mạnh đến nỗi quên hẳn cả việc phải hoá trang giọng nói của mình:
- ‘Lắng nghe tôi nói đây, xin bà lắng nghe này! Báo cho ông ta biết, là ông ta đang bị nguy hiểm!’
- ‘Nguy hiểm à, nguy hiểm gì vậy?’
Giọng nói người đàn bà bỗng nhiên hụt hẫng, người đàn bà như thể đang ngồi ở chiếc ghế, nghe rồi chồm hẳn người lên và chân bị va vào ghế, nhưng thế này thì lại càng không thể nào gọi ông chồng đến được.
- ‘Đây thêm lý do, tôi không kêu ông nghe điện thoại của anh được. Có thể anh nói dối. Làm sao anh chứng minh cho tôi đó là tin khả tín được’.
Dưới chân của viên đại tá Volodin bỗng nhiên nóng như bốc lửa, và cái báng súng đen ngòm nơi lòng ngực của Volodin tưởng như nhảy dựng lên theo nhịp tim. Volodin nói gần như hét lên tuyệt vọng:
- ‘Thôi được nghe đây! Lần vừa rồi khi được gởi đế hội thảo tại Paris, professor có hứa với một người đồng nghiệp người Pháp là sẽ chuyển cho người đó, một cái gì đó. Có lẽ một loại thuốc, trong vòng vài ngày nữa ông sẽ thực hiện lời hứa đó. Nói với ông rằng chớ có đưa món gì cho người ngoại quốc cả, bà hiểu không,..’
Có một tiếng cắt nhẹ nhàng từ một nơi nào đó, làm tất cả chìm vào im lặng, không có một tiếng động nào ngay cả tiếng ù ù của đường dây. Kẻ nào đó, hiển nhiên đã cắt cuộc điện đàm của hai người.
Một ngày lo lắng khôn nguôi vừa trôi qua, thì buổi chiều sau đó Volodin đã bị bắt. Một ngày khốn khổ tương tự như “Một ngày trong đời của Ivan Denisovich” đã bắt đầu.
Volodin đã không biết trước thời điểm bấy giờ, Stalin đã ra lịnh tập trung những nhà khoa học, những người tài giỏi về ngôn ngữ học, những nhà toán học lừng danh, những nhà vật lý học chuyên nghiệp, và cả những chuyên viên tốt nghiệp về radio vào một nhà tù đặc biệt tên là Mavrino[4], ngay tại thủ đô Mạc Tư Khoa. Họ phải làm cho ra, một cái máy có khả năng nhận biết được âm thanh người nào đã nói trong điện thoại. Chính phát minh này đã đóng góp không ít vào việc giết khoảng 15 triệu người Liên Xô sau thời hậu chiến và luôn luôn được cải hóa trong nhiều việc ứng dụng.
Khi cái máy Voice Clipping này[6] khi được hoàn tất, Stalin đã tận dụng mọi cách để loại bỏ những người chống đối một cách nhanh chóng. Thí dụ một trong những cách là ngay một cuộc họp của Đại hội Trung ương Đảng của Liên Bang Xô Viết, mọi người trong đại hội đứng lên vỗ tay khi Stalin xuất hiện. Tiếng vỗ tay không thể ngưng khi Staline chưa ngồi xuống. Tiếng vỗ liên tục, càng lúc lại càng lớn, và ai cũng đâm sợ hãi thấy những ánh mắt cú vọ của mật vụ đang theo dõi họ, những ánh mắt dường như đang tìm xem ai là kẻ dám ngưng tiếng vỗ đầu tiên. Stalin xuất hiện nhưng lại đứng im như pho tượng, không tỏ một cử chỉ nào cho thấy là sẽ ra hiệu ngưng vỗ tay hay ngồi xuống ghế chủ toạ.
Không một ai dám ngừng vỗ tay, càng lúc nỗi sợ hãi lại càng dâng cao, tiếng vỗ tay càng lúc càng mạnh hơn, tưởng chừng như vô tận. Mãi cho đến khi Stalin buông cánh tay lên cho phép ngưng, thì ai cũng nén tiếng thở phào nhẹ nhõm ngồi xuống.
Nửa đêm hôm đó, một trong những người trong Bộ chính trị Trung ương đảng quá phẫn uất, ra ngay Quãng Trường Đỏ. Sau nhiều lần tự kiểm soát chắc chắn là không có ai theo dõi, không có một dấu hiệu gì có người vào lúc nửa đêm lạnh buốt chết người của mùa đông Mạc Tư Khoa, anh dở cái máy điện thoại trực tiếp gọi đến Stalin và chửi không tiếc lời. Khi mặt trời chưa rạng sáng, đang ngủ anh ta đã bị đánh thức bởi mật vụ và bị bắt, kể từ đó cuộc đời anh ta không bao giờ nhìn thấy ánh mặt trời nữa.
Cái trớ trêu ở chỗ là ý tưởng nguyên thuỷ, lý thuyết đầu tiên của những mạch điện đó, lại xuất phát từ một tạp chí tại New York sau đó lại biến thành tài liệu tuyệt mật của Liên Bang Tối Cao Xô Viết. Tài liệu được chuyển đi bằng những lớp bao bọc chống cháy, và được lịnh làm thế nào như thể mạch điện này xuất phát từ Liên Xô.
Thoạt tiên, những nhà khoa học tại trại giam đặc biệt vẫn làm việc cật lực nhưng một mặt họ vẫn muốn tiêu huỷ công trình làm việc của chính họ, vì họ ý thức rằng sẽ là tội ác nếu máy “voiceprint” này ra đời.[7]
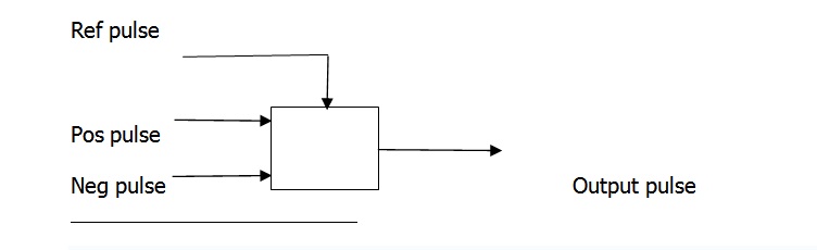
Nguyên tắc chính yếu của máy này bao gồm hai đường vào, tạm gọi là “input data” một dương và một âm (Pos pulse & Neg pulse), và được so sánh với một dạng sóng tiêu chuẩn có sẵn (Ref Pulse), để cho ra một dạng sóng khác, dạng sóng này được lọc lại để loại bỏ những phần nhiễu và cuối cùng thì khuếch đại lên để cho ra waveform cuả tín hiệu. Qua dạng sóng này, người ta sẽ nghe và biết ngay giọng nói của người nào, từ đó có thể theo dõi cuộc điện đàm liên hệ.

Để dễ hiểu hơn, xin được nói cách khác đi là âm thanh, giọng nói của con người chúng ta cũng có trầm bổng (intonation[8]) lên xuống, nếu lấy một đường kẻ ở giữa giọng nói của chúng ta làm điểm zero, thì ta sẽ thấy có những âm thanh vượt lên trên lằn kẻ này và có những âm thanh hạ bên dưới đường kẻ đó. Khi nghe trong điện thoại chúng ta tai của chúng ta nhận ra ngay người chúng ta đang tiếp chuyện, vì chúng ta đã từng nghe âm hưởng người bạn này nói chuyện rồi.

Cho đến nay, những trường hợp nghiêm trọng sở điều tra hiện nay vẫn áp dụng là cho gọi người tình nghi lên nói chuyện. Khi nói chuyện, người thu thập tin tức sẽ hỏi han một số chuyện tưởng chừng như không ăn nhập gì cả, nhưng âm hưởng đã được ghi nhận ngay và được dùng để làm “Reference Data”, tức là dạng sóng tiêu chuẩn.
Khi một cái radar recorder, hướng vào nhà người bị theo dõi, họ thu lấy hết tất cả âm thanh của cả một vùng. Sau đó mang về so sánh với dạng sóng tiêu chuẩn này (Reference Data) thì sẽ truy ra những âm thanh của người này nói chuyện với ai, và nói những chuyện gì.
Những âm thanh khác như tiếng chim kêu, tiếng xe chạy, là những âm thanh đều thu được cả hai input thì được loại bỏ. Kỹ thuật loại bỏ âm thanh nhiễu này trong điện tử được gọi là “Common-mode rejection”[9], rất thông thường trong FET op-amps, và hiện tại rất rẻ tiền có thể tìm thấy trong danh sách của các IC bán tại các tiệm bán linh kiện điện tử, thí dụ: TLC7610 series. Một ứng dụng hữu ích khác của mạch điện loại bỏ tín hiệu nhiễu và thu tín hiệu đang tìm kiếm, được dùng trong các dụng cụ điện tử nhà thương (medical equipment) là máy ECG machine, ghi nhận và in ngay tâm động đồ (ECG waveform) khi quý bạn đi khám mạch đập của tim.
Các máy tâm động đồ này chuyển những tín hiệu từ những góc cạnh khác nhau của một quả tim đang đập, để đưa vào máy. Tín hiệu chuyển động của quả tim, được chuyển sang milli-Volt (ml) tức là 1/1000 của volt.
Lúc điều chỉnh những máy nhận sóng và phát sóng (Radio Repeaters) người chuyên viên dùng máy gọi là Frequency Analyzer để điều chỉnh con số 0.350µV, tới 0.500 µV như định trước để cho âm thanh được rõ mà ít khi phân tích con số vôn thế này nhỏ như thế nào. Để rõ ràng hơn xin dẫn chứng là một cục pin AAA bạn thường xài là 1.5 volt. Con số 0.350µV còn nhỏ hơn cả 1 phần triệu của 1 volt. Thế mới biết rằng con số 350/1.000.000.000 volt nhỏ kinh khủng như thế nào. Những máy MSF (Motorola) analogue cũ rích dùng cả 20 năm nay của Cảnh Sát Úc Đại Lợi, còn thu được tín hiệu nhỏ như thế, thì với những máy digital hiện tại thu tiếng nói trong nhà của bạn, nếu cơ quan điều tra hoặc giới tình báo muốn nghe được thì không phải là điều khó mà âm thanh lại không có một chút nhiễu nào cả.
Để cho các bạn thấy tầm mức quan trọng của Reference data hay là dạng sóng tiêu chuẩn cần thiết như thế nào xin được dẫn chứng:
Ngày 9/3/2009, có một biến cố trên biển Đông đã đưa đến sự xích mích cấp độ ảnh hưởng đến tầm mức quan hệ quốc gia giữa Trung Quốc và Mỹ, đó là một tàu hải quân Mỹ có tên là Impeccable đi thả những trái nổi và kéo theo sau những dụng cụ đo đạc ở vị trí 75 dặm, tức là 121Km phía Nam của đảo Hải Nam (hải phận quốc tế) đã bị ngay 5 tàu tuần thám Trung quốc thuộc bộ phận của Cơ quan Tuần tiễu Biển đông Trung Quốc cải trang tàu đánh cá, dùng những cây sào, những dụng cụ thô thiển tạo ra tiếng động để phá nhiễu.

(March 8, 2009)
Hai tàu cải trang tàu cào tôm của Trung Hoa Lục Địa ngưng máy ngay trước mũi tàu
thám thính của Hoa Kỳ (Military Sealift Command ocean surveillance ship)
Tàu viễn thám 281.5 foot này của Mỹ này là một trong sáu tàu thám thính và đo đạc để thu những tín hiệu liên quan đến quân sự và phòng thủ. Nhiệm vụ của tàu này là dùng máy phát sóng sonar và để thu lượm tín hiệu bên dưới mặt nước. Tàu USNS Impeccable có tốc độ tối đa 13 knots (15 dặm/giờ) nhưng lúc bấy giờ đang đi thu sóng truyền nên chỉ chạy với tốc độ 3 knots hay là 3.5 dặm/giờ. Tàu Impeccable vốn không trang bị vũ khí, chỉ mang theo 20 thuỷ thủ và 5 người chuyên viên thu lượm tín hiệu. Việc này đã đưa đến việc cả hai bên đều gởi công hàm phản đối nhau kịch liệt. Đối với Trung Quốc thì Hoa Kỳ đã xâm phạm vào vùng kiểm soát của họ, và đã đe doạ rằng nếu không chấm dứt sẽ có những hậu quả không lường, còn đối với Hoa Kỳ đây là hải phận quốc tế.
Tưởng cũng nên nhắc lại là một sự việc tương tự như vậy, đã xảy ra trước đó, việc xảy ra được xếp hạng như là biến cố trầm trọng trong mối quan hệ ngoại giao với Hoa Lục trong thời Tổng Thống George W. Bush.
Ngày 1/04/2001, chiếc máy bay EP-3E Aries II, của Mỹ bay trên vùng trời tiếp ranh biên giới của Trung quốc cách xa Cơ Quan Kiểm Soát Không Phận của Hoa Lục ở địa điểm 70 dặm, tức là 110 Km và đã bị các phi tuần phản lực của Trung Quốc ép bắt hạ cánh xuống đảo Hải Nam. Tên biến cố này được gọi là biến cố Hainan Island, xảy ra vào ngày 1 tháng 4 năm 2001.
Máy bay EP-3E Aries II cũng có nhiệm vụ ghi nhận và lưu trữ làn sóng tiêu chuẩn (Reference Data). Việc ép hạ cánh này đã gây ra tử nạn cho viên phi công Trung Quốc lái chiếc J-8s và hư hại trầm trọng cho chiếc EP-3E Aries II, làm chiếc máy bay thám thính Hoa Kỳ này phải hạ cánh khẩn cấp xuống đảo Hải Nam.
Vị trí đụng độ
Kết quả là cả 24 chuyên viên tình báo điện tử và phi hành đoàn đã bị giam giữ, thẩm tra suốt 11 ngày, sau phải có lá thơ xin lỗi chính thức từ Chính phủ Hoa Kỳ, họ mới được thả nhưng chiếc máy bay và dụng cụ thì bị Hoa Lục tháo rời tung ra ra từng mảnh bỏ thùng gởi trả lại.
Ghi nhận những tín hiệu vào thời bình cho cả vùng biển và vùng trời, để tạo thành những Reference Data. Một khi chiến tranh xảy ra, thì Ref pulse này sẽ được dùng để so sánh và như thế sẽ phát hiện ra những tín hiệu khác lạ xảy ra trong vùng. Thật là không nói sai đi là độ nhạy của máy thám thính âm thanh vô tuyến điện (Wave detectors) vào thời điểm cả chục năm về trước (1999) đã có thể thu lượm được cả âm thanh của cái mỏ lết nếu người thuỷ thủ vô ý đánh rơi xuống sàn của một tiềm thuỷ đỉnh, đang ngủ yên lặng lẽ dưới nước.
Tóm lại nguyên tắc mạch điện y hệt như vừa mới cắt nghĩa bên trên đã được chạy đua để tạo ra từ thuở chiến tranh lạnh giữa hai khối Tự Do và Cộng Sản.
Chính vì lý do đó mà khi bức tường Đông Đức và Tây Đức bị xô xập xuống bởi những người dân của cả hai miền, ông Markus Wolf, viên đầu não nổi tiếng của Sở tình báo quốc ngoại Đông Đức, sau khi chạy trốn trên lãnh thổ Liên Xô, cuối cùng đã quay lại đầu thú với chính quyền Tây Đức. Ông ta đã bị phỏng vấn cả tháng bởi cơ quan tình báo Tây Đức. Chính phủ Đức bấy giờ đã cho đào một căn phòng ngầm dưới đất, ngăn sóng (Insulation) tách biệt mọi tiếng động để những chi tiết về cuộc phỏng vấn này không bị tiết lộ ra bên ngoài. Mãi về sau, chỉ một phần được phép bạch hoá mà thôi. Người ta chỉ được biết một phần mà được gọi là chiến dịch “Romeo”[10]; Đông Đức đã dùng những thanh niên Đức bảnh trai, tán tỉnh, dụ khị những cô thư ký xưa vốn xinh đẹp nay tuổi đã xế chiều, thân cận những nhân viên quan trọng trong chính phủ Tây Đức để lấy tin tức.
Nhiệm vụ thu âm được giọng nói của từng nhân vật là phần chính của đặc vụ. Âm thanh, thanh hưởng của nhân viên nào có tầm vóc đến điều hành quốc gia, đều được lưu trữ để làm âm thanh tiêu chuẩn (Reference Data); Khi nhân viên này nói chuyện ở đâu, với những nhân vật nào, đều được phăng ra thêm đầu dây mối nhợ hoặc mối liên lạc của đồng nghiệp của người đó.
Nói dễ hiểu hơn là thu được âm thanh của một người quan trọng trong chính phủ, cơ hội để thu được âm thanh của một viên chức chính phủ khác có tầm vóc rất khả thi. Thí dụ điển hình là cuộc đàm thoại của Chancellor Helmut Schmidt (Thủ tướng Đức) và James Callaghan (Thủ tướng Anh) đã bị điệp viên Đông Đức tên là Dagmar Kahlig-Scheffler, codenamed: Inge thu được. Phe Đông Đức vỗ đùi ngả ra cười khoái trá, tung ra cho báo chí phương Tây biết vì trong buổi đàm thoại này đã thu được âm thanh của Thủ tướng nước Anh đang phát ngôn về Chú Sam là sư mấy thằng Mỹ toàn là lũ bốc cứt trộn xà lách. Hai ông lãnh đạo cao cấp của hai nước lớn cùng chửi toáng một ông lãnh đạo cùng phe là chuyện cực kỳ hiếm có.
Cái hay của chính phủ Tây Đức là đã ngấm ngầm dụng lại trùm điệp báo Markus Wolf, mà không đày ải ông ta, một phần vì là người quá giỏi để tham khảo ý kiến, nhưng cũng có lẽ vì ông ta đã nói rằng, ông ta chỉ phục vụ hết lòng cho nước Đức, và vì làm việc nơi chính thể Đông Đức, cho nên ông ta phải ở vị thế không thể chọn lựa nào khác là phải đương đầu với phương Tây.
Mời bạn nghe câu chuyện thứ hai: Cruise ship MS Achille Lauro.
Vào ngày 7 tháng 10 năm 1982, có 4 người Palestinian trong tổ chức Palestine Liberation Front (PLF) đã cầm giữ du thuyền khi du thuyền chở đầy hành khách đi từ Alexandria tới Port Said, Ai Cập. Những tên khủng bố này đã dùng áp lực quốc tế để đòi Do Thái phải trả tự do cho 50 người Palestinian đang bị cầm tù tại Jerusalem.

Khi bị từ khước không cho bỏ neo tại Tartus, Syria, những tay khủng bố này đã giết chết một người tàn tật Mỹ tên là Leon Klinghoffer, ném thây xuống biển rồi quay lại bến Port Said, nằm về phía Đông Bắc của Ai Cập gần kinh đào Suez. Sau 2 ngày thương thảo để đổi lại thoát thân trong an toàn, những tên khủng bố Palestine này đã bỏ tàu để bay đến Tunisia qua hãng hàng không dân sự Ai Cập.
Tổng thống Mỹ bấy giờ là ông Ronald Reagan ra lịnh phi đội Tomcats trong biệt đội VF-74 BeDevilers và phi đội VF-103 Sluggers của biệt đội Carrier Air Wing 17 của hàng không mẫu hạm USS Saratoga chận bắt chiếc máy bay. Hai phi đội này bay luẩn quẩn ngoài tầm kiểm soát không phận, đợi cho đến khi biết chính xác từ tình báo viễn thông cho biết chuyến máy bay nào trong số cả ngàn chuyến máy bay, bay ngang ngang, dọc dọc. Khi nhận diện chiếc máy bay hàng không chở 4 người Palestines, các chiến đấu cơ của Mỹ, đã thành công trong việc bắt chiếc máy bay chở những tên khủng bố phải hạ cánh xuống căn cứ Hải quân cuả khối Nato tên là Naval Air Station Signonella thuộc lãnh thổ Ý.
Câu chuyện chúng ta muốn đề cập ở đây là chỗ, qua việc biến cố của Cruise ship MS Achille Lauro 1982, các nước Âu Châu phải chấn động vì hiểu ra rằng tình báo viễn thông của Mỹ, có khả năng nghe lén được toàn bộ bàn luận trong vòng bí mật của một quốc gia.
Biến cố này đã tạo ra một vết nứt trầm trọng trong mối quan hệ giữa Mỹ và Ý. Thủ tướng Ý bấy giờ là ông Bettino Craxi đã cho rằng quyền điều hành lãnh thổ Ý phải do người Ý quyết định, không thể nào để khối NATO quyết định được và chính quyền Ý đã để toàn bộ những người Palestines này thoát thân.
Để biện bạch việc làm, chính quyền Ý viện cớ là không thể giải giao những người Palestine này cho Mỹ vì như thế sẽ tổn thương đến quyền quyết định quốc gia họ. Nhưng chính thực ra, chính quyền Ý đã giận dữ phản ứng vì bị nghe lén. Hơn thế nữa họ cũng không muốn đụng chạm với Palestine vì muốn đứng ngoài các vụ tranh chấp của khối Trung Đông để được ổn định lâu dài.
Trở lại một chút xíu về chi tiết kỹ thuật, các đài tiếp vận (Repeaters)[11] có hai nhiệm vụ: nhận tin (receiver) và chuyển tin (transmitter) ở hai tần số (frequency) khác nhau. Con số rất thú vị để hiểu. Thí dụ: đài tiếp vận transmit ở tần số 146.94Mhz, và Receive ở tần số 146.34 Mhz nhưng ở một chiếc xe cảnh sát, thường xuyên lại để tần số Reveive tại 146.94Mhz, tức là tần số ngược lại đài tiếp vận. Chỉ khi nào anh cảnh sát này muốn chuyển âm thanh của anh ta đi thì anh ta mới bấm vào nút transmitting để đổi sang tần số transmit là 146.34MHz để trùng với tần số nhận receive của đài tiếp vận. Rất giống như các dụng cụ truyền tin chúng ta dùng trong thời kỳ chiến tranh là PRC10 và PRC25, chỉ có cái khác là chuyển âm với khoảng cách ngắn hay chuyển với khoảng cách xa.

Bây giờ cảnh sát và các cơ sở đặc biệt viễn thông lại thêm một tần số cộng hưởng thêm, đươc gọi là CTCSS còn được gọi là tần số riêng biệt (own sub audible tone); thường là thấp hơn 156.7 Hz. Tần số bí ẩn này được cộng vào tần số đã được cấp giấy phép để xử dụng 146.34 Mhz± 156.7 Hz.
Thảo trình viên (programmer) dùng một chương trình nhỏ, (program) để đưa con số cộng hưởng này vào máy. Chỉ cần con số 0.7 Hz vào tần số thôi, là tai con người không nghe được nữa. Những máy dò sóng bán ngoài thị trường thương mãi (Commercial scanner) chỉ ngưng lại ở tần số này nếu trong máy scanner đó có định vị trước, còn đa số những scanner không được định vị thì không thể nào chụp được sóng. Cảnh sát Úc dùng kỹ thuật này, và mỗi tiểu bang lại có tần số CTCSS riêng biệt chỉ cách nhau vài hert để không bị nhiễu lẫn nhau.
Điều này làm chúng ta nhớ đến cuộc chiến tranh Việt Nam, nếu một vị chuyên viên truyền tin nào thấu hiểu được kỹ thuật này thì họ có thể điều chỉnh mạch điện (front end filters) của một số máy nhận và và một số máy thu thì loạt máy này có thể dùng trong việc truyền thông bảo mật trong nhóm mà thôi. Cách tránh sóng dò một cách tuyệt diệu mà cả bên địch cũng như ta sẽ không bắt được sóng.
Việc này rất khả thi, và đã được ứng dụng trong các điệp vụ. Tại Bắc Hàn, ông Kim Jong-Ryul, cựu đại tá quân đội Bắc Hàn, từng là bộ hạ của nhà lãnh đạo Kim-il-Sung xin tỵ nạn chính trị và ẩn mình từ năm 1984 tại Áo. Kim Jong-Ryul kể lại rằng, ông được tín cậy giao đi mua những vật dụng cá nhân cho Bắc Hàn trong gần hai thập niên. Kim Jong-Ryul đã từng mua máy đo mức phóng xạ, Geiger, máy đọc các nét vân tay từ Mỹ và điện thoại đã được điều chỉnh tần số, sao cho chỉ hai ông Kim Jong-il và Kim II-Sung nói chuyện được với nhau mà không sợ ai nghe trộm.
Hệ thống điện thoại này chẳng qua là do điều chỉnh lọc sóng front end filters để cộng hưởng thêm một vài frequency mà tai người không nghe được như đã đề cập bên trên.
Kỳ sau mời bạn nghe một câu chuyện thứ ba cũng liên quan đến tình báo Viễn thông Điện tử đã làm thay đổi cục diện của Trung Đông: Trận chiến 6 ngày của Do Thái và khối Ả rập. Chính trận chiến này đã làm Do Thái có cớ để nửa đêm về sáng, tung cuộc hành quân đặc nhiệm, lấy luôn mạn Tây của Jerusalem (West Bank) từ Jordan và biến toàn thể Jerusalam thành thủ đô của Do Thái.
Cho đến nay năm nay 2009, thủ tướng Do Thái, ông Benjamin Netanyahu, trở lại cầm quyền lần thứ hai, đã tiếp kiến với Tổng thống Mỹ Barack Obama bày tỏ nhượng bộ tất cả các điều kiện của Mỹ đặt ra, nhưng chỉ có một điều độc nhất Do Thái khăng khăng không thể nhượng bộ là chia xẻ thủ đô Jesusalem với người Palestine, thậm chí còn muốn xây cất nhà ở cho 120 ngàn dân Do Thái trà trộn trong 250 ngàn dân Palestines vốn đã sống lâu năm trong vùng này.
Có một nguồn tin đã liên quan đến tình báo viễn thám điện tử khá thú vị nhưng không phối kiểm được, là tin Thủ Tướng Nguyễn Tấn Dũng hội kiến với Tổng Thống Bush ngày 24 tháng 6 2008. Đến ngày 28 tháng 7 năm 2008, tức là chỉ vào khoảng một tháng sau khi buổi hội kiến, khi trở về đã cấp tốc lên kế hoạch bắt giữ, cắt chức toàn bộ ban lãnh đạo của Quân Khu Thủ Đô. Nguồn tin này cho rằng Thủ Tướng Việt Nam đã nhận một món quà tặng quý giá của Tổng Thống Bush qua chuyến đi Mỹ đó là bản thu âm được buổi đàm luận của các ông Tướng lãnh đạo Quân Khu Thủ Đô.
TrantuanngocK28
Australia, November 2009
[1] Robert Strange McNamara (June 9, 1916 – July 6, 2009) was an American business executive and the eighth Secretary of Defense. McNamara served as Defense Secretary for Presidents John F. Kennedy and Lyndon B. Johnson from 1961 to 1968. Following that he served as President of the World Bank from 1968 until 1981. McNamara was responsible for the institution of systems analysis in public policy, which developed into the discipline known today as policy analys
[2] EEG: electroencephalogram: a graphical record of electrical activity of the brain; produced by an electroencephalograph
[3] Nguyên tác là The First Circle, 1968, của Alexander Solzhenitsyn. Câu chuyện kể về đời sống của những nhà khoa học gia đã bị bắt giữ dưới điều luật 58 của Liên Bang Xô Viết. Điều luật cho phép bắt giữ những ai có hành vi chống lại nhà nước Liên Xô. Tựa đề “Từng Đầu Địa Ngục” để tôn trọng người đầu tiên dịch.
[4] Mavrino Prison, specially designed by reigning dictator Josef Stalin (F. Murray Abraham) for physicists, mathematicians, electrical engineers and other intellectuals to participate in state-supported scientific research; a voice print analysis machine is being developed in Mavrino and the pressure to get the machine up and running becomes almost unbearable. Laboring under increasingly hostile conditions, those tasked with its completion struggle to maintain a sense of humanity.
[5] General Secretary, Communist Party of the Soviet Union's Central Committee: Stalin
[6] Clipping, damping, amplitude compression, electronic differentiation and integration of human speech machine.
[7] The First Circle is a novel by Aleksandr Solzhenitsyn released in 1968. The novel details the life of the occupants of a Gulad prison camp located in the Moscow suburbs, the Marifino. Many of the prisoners (zeks) are technicians or academics who have been arrested under Article 58 of the RSFSR Penal Code in Stalin's purges following the Second World War. Unlike inhabitants of other hard labor camps of the Gulag system, the sharashka zeks are adequately fed and enjoy good working conditions
[8] In Linguistics, intonation is variation of pitch while speaking which is not used to distinguish words. (Compare tone.) Intonation and stress are two main elements of linguistic prosody
[9] Precision Op-Amp Design Technique. Paul Horowitz@Winfield Hill
[10] The West Australian, p.45, Sat November 11, 2006.
[11] The ARRL Handbook For Radio Communication 2008; chapter 15:20
(Source: https://khoa28tvbqgvn.com/cau-chuyen-ky-thuat-phan-1/ )
[5]